Madrid la mejor ciudad para vivir y teletrabajar

Un estudio realizado por la compañía inglesa Cia Landlord revela a Madrid como la mejor ciudad para vivir y teletrabajar.

A principios de 2020, la idea de trabajar en el extranjero era solo una quimera para muchos empleados. Desde que golpeó la pandemia del coronavirus, trabajar de forma remota se ha convertido en la norma para miles de millones de personas en todo el mundo, lo que hace posible que muchos trabajadores puedan tener su oficina en cualquier parte del mundo.

Madrid la mejor ciudad para vivir y teletrabajar

Imágenes superiores de la ciudad de Madrid / Madrid la mejor ciudad para vivir y teletrabajar

Un estudio realizado por Cia Landlord ha revelado las mejores ciudades para mudarse después del confinamiento para ahorrar en gastos mientras sigue ganando el salario actual y viviendo fuera de tu país pero con una zona horaria similar. El estudio está pensado orientado para ciudadanos británicos pero se puede hacer extensible a otros países de Europa.

Veamos cuáles son las mejores ciudades para vivir teletrabajando

Top mejores ciudades para mudarte y trabajar de forma remota

Madrid la mejor ciudad para vivir y teletrabajar

¡El estudio toma en cuenta variedad de factores, como son los costes, popularidad y prestaciones de la ciudad.

Madrid la mejor ciudad para vivir y teletrabajar

Imagen superior: Centro de Estambul / Madrid la mejor ciudad para vivir y teletrabajar

Con una cantidad extremadamente alta de turistas anuales, vuelos baratos y un bajo costo de vida, Madrid se destaca como la mejor ubicación para mudarse para trabajar a distancia por una variedad de razones, como son los  costes, la popularidad y sus prestaciones. Como media, el país recibe a más de 82 millones de turistas al año (10 millones solamente en Madrid), y con más de 594 atracciones para visitar en esta ciudad nunca habrá días sin nuevos lugares para explorar en la capital española. A pesar de su alquiler relativamente alto para un pequeño apartamento o habitación (895£ ), los vuelos desde y hacia la ciudad desde Londres te costarán nada menos que 46£ ida y vuelta, lo que te permite gran libertad de  movimiento.

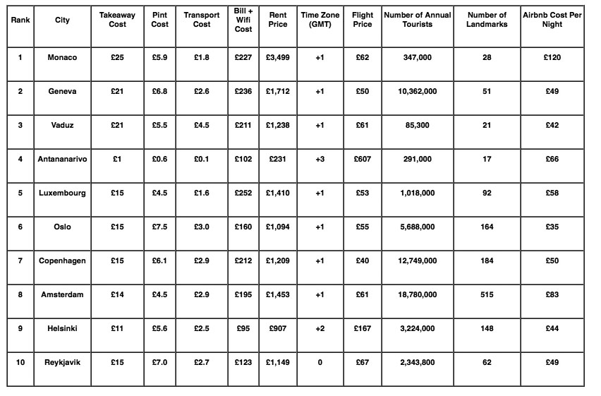
Top peores ciudades para mudarte y trabajar de forma remota

Madrid la mejor ciudad para vivir y teletrabajar

A pesar de su estrecha diferencia horaria (GMT +1) y su bajo costo de transporte ( 1.80£), Mónaco es oficialmente la peor ciudad a la que trasladarse para trabajar a distancia. Con costos de alquiler promedio exorbitantes de  3,499£ y altos costos promedio de comida take away de 25£, esta ciudad no es barata, lo que la convierte en la peor opción para los empleados digitales nómadas.

Madrid la mejor ciudad para vivir y teletrabajar

Imagen superior: Mónaco / Madrid la mejor ciudad para vivir y teletrabajar

Madrid la mejor ciudad para vivir y teletrabajar

Imagen superior: Amsterdam /Madrid la mejor ciudad para vivir y teletrabajar

Ciudades populares como Ámsterdam y Copenhague están en la lista de las peores ciudades para vivir y teletrabajar, a pesar de tener un alto número de turistas anuales de más de 8 millones y 12 millones respectivamente. Los altos precios de alquiler y los costes de vida hacen que sea inconcebible reubicarse para trabajar a distancia sin importar cuántas atracciones o vuelos baratos haya.

 *Nota: El número anual de turistas de las tablas es del País, no de la ciudad

Puedes ver el estudio completo aquí